• Предмет: Математика
  • Автор: birdY33s
  • Вопрос задан 2 года назад

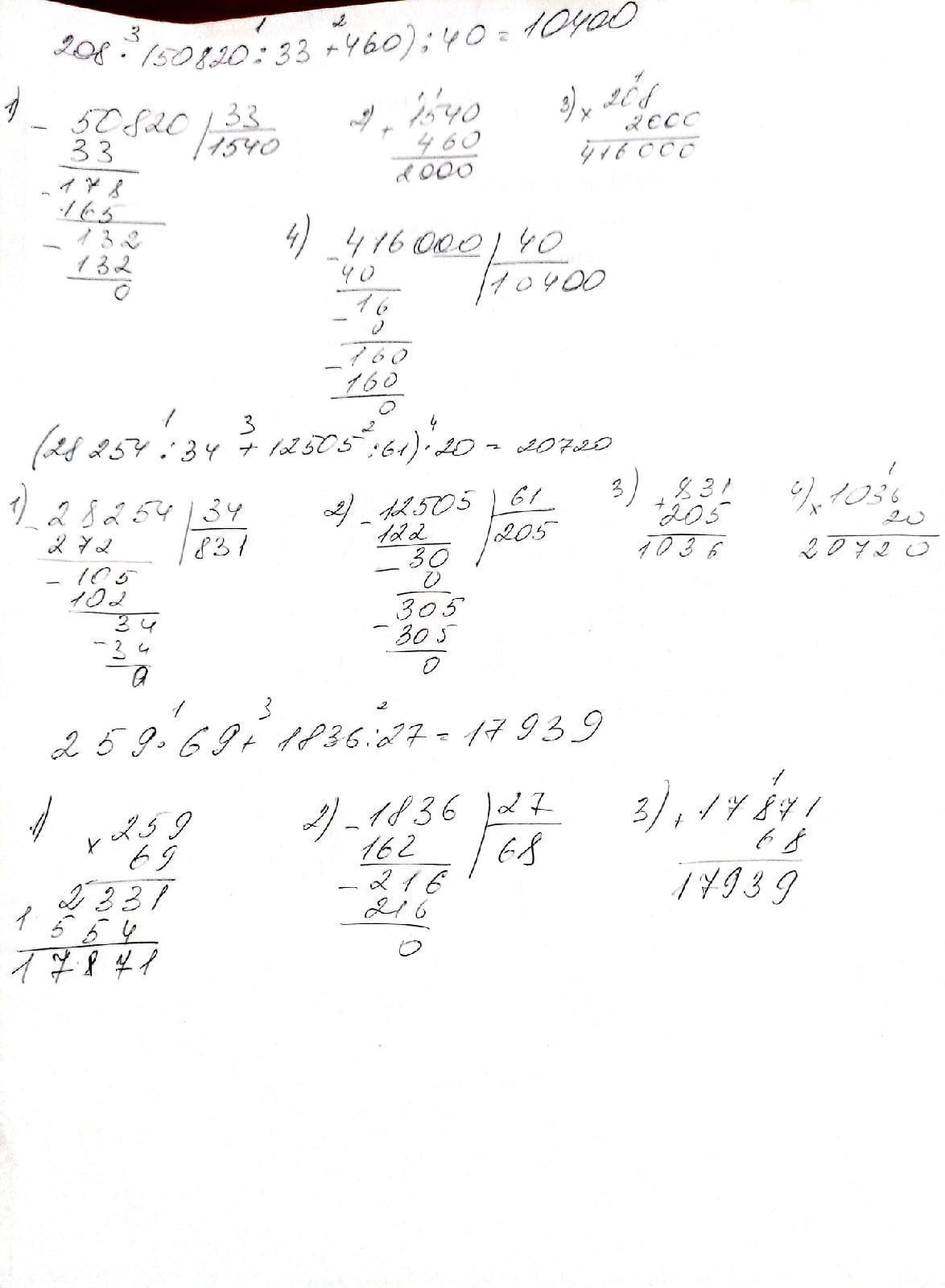
СТОЛБИКОМ , ПЛЮС ФОТО, ПО ДЕЙСТВИЯМ, Найди значения выражений. 208 (50 820:33+ 460): 40 (28 254:34 + 12 505: 61) - 20 259 69 +1 836:27​

Ответы

Ответ дал: nikolmakisheva
3

Ответ:  я как поняла это три примера, 1) 10400

2)20720

3)17939

Смотрите ниже.

Приложения:

nikolmakisheva: если что это было в интернете.
birdY33s: спасибо если будет всё правильно мне просто друг уже дз скинул то я тебе дам лучший ответ
nikolmakisheva: все верно?
birdY33s: хз я ещё делаю
birdY33s: проверено только два примера они верные надейся что третий правильно
nikolmakisheva: малыш, я в 9 классе, для меня эти задачки - чепуха.
birdY33s: а понятно
birdY33s: блин я не могу поставить
birdY33s: чисто кнопки нет
Вас заинтересует