• Предмет: Алгебра
  • Автор: andreymasterpro777
  • Вопрос задан 2 года назад

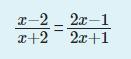
ПОМОГИТЕ РЕШИТЬ УРАВНЕНИЯ ДАЮ 30 БАЛЛОВ!

Приложения:

Ответы

Ответ дал: McProfessor
0

1)

 \frac{x - 9}{x +5 }  = 0 \\ x - 9 = 0 \\ x = 9

2)

 \frac{ {x}^{2} - 36 }{2x - 12}  = 0 \\  \frac{(x + 6)(x - 6)}{2(x - 6)}  = 0 \\  \frac{x + 6}{2}  = 0 \\ x + 6 = 0 \\ x =  - 6

Формула

  •  \frac{f(x)}{g(x)}  = 0 \\ f(x) = 0

Вас заинтересует