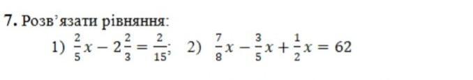
допоможіть будь ласка з одним завданням дуже треба будь ласка дякую за розуміння (6 клас) головне щоб було з діями
Приложения:

Ответы
Ответ дал:
7
Пошаговое объяснение:
1)
2/5х - 2 2/3 = 2/15
2/5х = 2/15 + 2 2/3
2/5х = 2/15 + 2 10/15
2/5х = 2 12/15
2/5х = 2 4/5
х = 2 4/5 : 2/5
х = 14/5 * 5/2
х = 7/1 * 1/1
х = 7/1
х = 7
2)
7/8х - 3/5х + 1/2х = 62
35/40х - 24/40х + 20/40х = 62
(35-24+20)/40х = 62
31/40х = 62
х = 62 : 31/40
х = 62 * 40/31
х = 2 * 40/1
х = 80/1
х = 80
Аноним:
ты легенда
Ответ дал:
6
Ответ:
Ниже.
Пошаговое объяснение:
В первом уравнении переведём смешанное число 2 ⅔ в неправильную дробь и перенесём вправо с противоположным знаком.
Пропорция. Перемножаем крест на крест:
Ответ: х=7.
---------------------------------------------------------------
Во втором уравнение умножим обе части уравнения на 40, чтобы избавиться от дробей, тогда:
Приводим подобные слагаемые:
Ответ: х=80.
Вас заинтересует
1 год назад
1 год назад
1 год назад
1 год назад
3 года назад
8 лет назад