• Предмет: Геометрия
  • Автор: johnsonyukboris
  • Вопрос задан 2 года назад

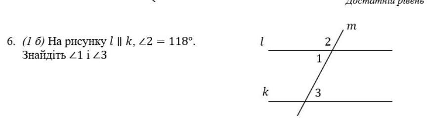
6. (1 б) На рисунку 1 || k, ​

Приложения:

Ответы

Ответ дал: ulinnik7891
1

Ответ:

На фото присутній розв'язок

Приложения:
Вас заинтересует