• Предмет: Математика
  • Автор: tkacenkom141
  • Вопрос задан 2 года назад

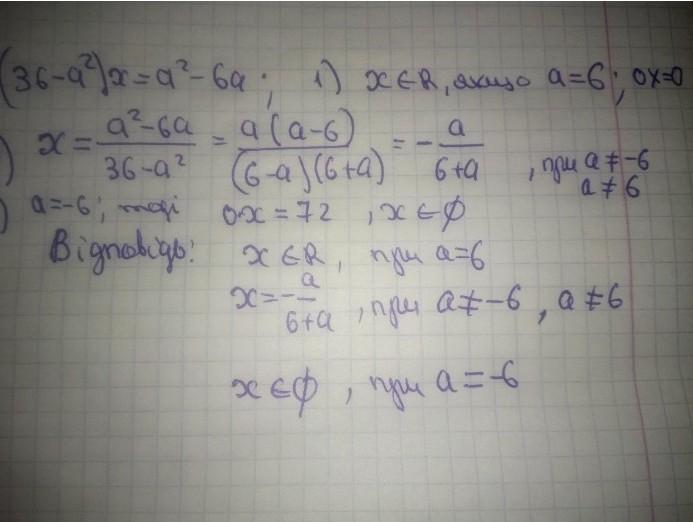
1. Скільки коренів має рiвняння x² - 4|x|| =а залежно від значення параметра а​

Ответы

Ответ дал: dreamluckyhouse9
1

ось правильну відповідь списуй

Приложения:
Вас заинтересует