• Предмет: Математика
  • Автор: Kirillahmenenko
  • Вопрос задан 2 года назад

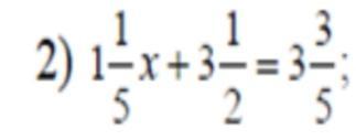
1 1/5Х - 3 1/2=3 3/5

Приложения:

Ответы

Ответ дал: baldinavictoria2011
0

Відповідь

х= одна двенядцетая

Покрокове пояснення:

Вас заинтересует