• Предмет: Математика
  • Автор: kattywurry
  • Вопрос задан 2 года назад

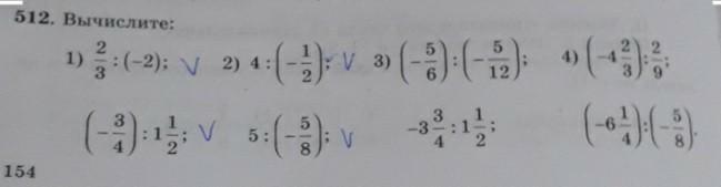
512. Вычислите:
пожалуйста!! мне очень нужно! даю 15 баллов! ​

Приложения:

Ответы

Ответ дал: kuttibaydarin
0

Ответ:

Пошаговое объяснение:


kattywurry: где ответ? его просто нету
Ответ дал: kak36a
0
мимими мамо мо мими ма мо мо ми мамомиии
Вас заинтересует