• Предмет: Алгебра
  • Автор: artembondarenkos21
  • Вопрос задан 2 года назад

ПЖПЖПЖ СРОЧНООООООО!!!!!!!!!!!!!!!!!!!!​

Приложения:

Ответы

Ответ дал: issaevyrkin19921108
1

Ответ:

Объяснение:

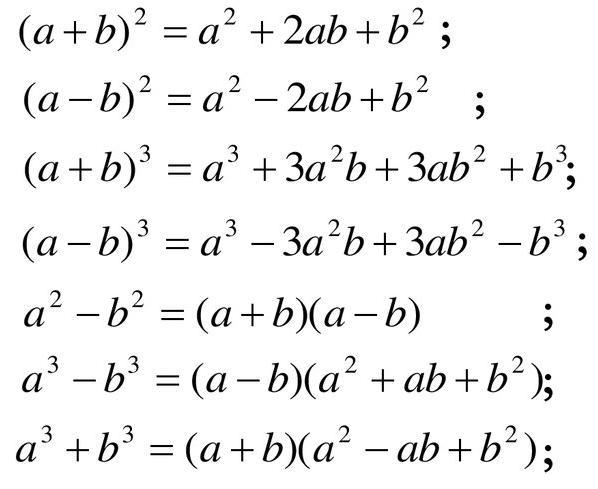
крч используем фсу ( формула сокращенного умножения )
и не паримся
подставляй и пытайся решить сам

Приложения:
Вас заинтересует