• Предмет: Алгебра
  • Автор: amalekamalek29
  • Вопрос задан 2 года назад

помогите пожалуйста дам 20 баллов​

Приложения:

Ответы

Ответ дал: aytbevbeksayat
1

Ответ:

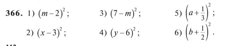
1). m²-4m+4

2). x²-6x+9

3). 49-14m+m²

4). y²-12y+36

5). a²+2/3a+1/9

6). b²+b+1/4

Вас заинтересует