• Предмет: Математика
  • Автор: valerialamza51
  • Вопрос задан 2 года назад

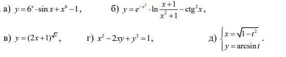
. Знайти похідні функцій:

Приложения:

Ответы

Ответ дал: sergey2636
0

м

сам Иди учи

Пошаговое объяснение:

неннненененен

Вас заинтересует