• Предмет: Алгебра
  • Автор: monika475
  • Вопрос задан 2 года назад


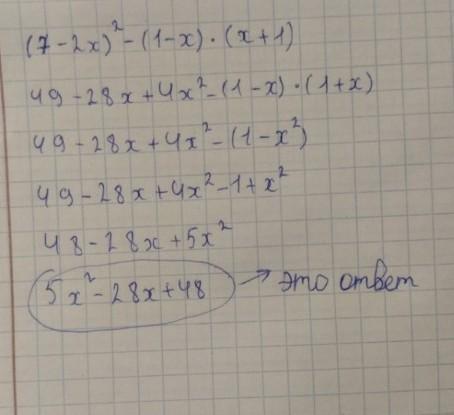
a) (7-2x)²-(1-x)(x+1)

Ответы

Ответ дал: alimak93
1

Ответ:

Ответ:

5 {x}^{2}  - 28x + 48

Приложения:
Ответ дал: ashimovaayana09
0

Ответ:

5х²-28х+48

Объяснение:

49-28х+4х²-(1-х)*(1+х)

49-28х+4х²-(1-х²)

49-28х+4х²-(1+х²

48-28х+5х²

5х²-28х+48х

Вас заинтересует