півгодини хлопчик їхав на велосипеді зі швидкісю 34 км/год, а потім ішов пішки 20 хвилин зі швидкісю 8 км/год. обчисліть середню швидкість руху хлопчика
Ответы
Ответ дал:
0
Ответ: 6,52м/с
Объяснение:
Дано:
V1=34км/ч=9,4м/с
t=0,5ч=1800с
t2=20мин=1200с
V2=8км/ч=2,2м/с
--------------------
Vср-?
Средняя скорость равна отношению пути к времени движения:
Vср=S/t
Путь разделен на 2 части: путь когда мальчик ехал на велосипеде и путь когда мальчик шел пешком.
Время тоже разделено на 2 части как и путь.
Для нахождения пути первого и второго участков нужно соответсвующие скорости умножить на время движения:
S1=V1*t1=9,4*1800=16920м
S2=V2*t2=2,2*1200=2640м
S=S1+S2=16920+2640=19560м
t=t1+t2=1800+1200=3000c
Vср=19560/3000=6,52м/с
Ответ дал:
0
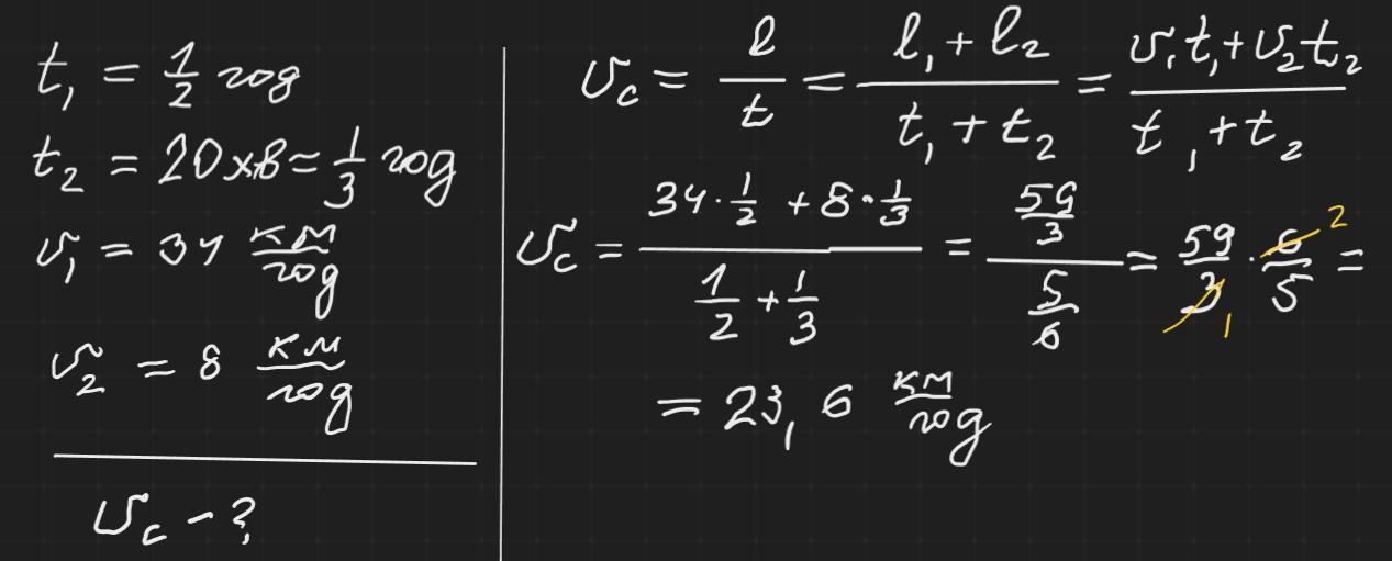
Відповідь: 23,6 км/год
Пояснення:
Приложения:

Аноним:
Добрий вечір! Допоможіть мені будь ласка з фізикою, завдання у моєму профілі.
Вас заинтересует
1 год назад
1 год назад
3 года назад
3 года назад
8 лет назад