• Предмет: Математика
  • Автор: dd919929
  • Вопрос задан 2 года назад

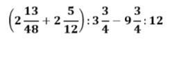
CРОЧНО!!!!!!!!!!!!!!!!!!!

Приложения:

Ответы

Ответ дал: nurasylturganaliev20
0

Ответ:

Надеюсь допомог!!!!!!

Приложения:
Ответ дал: pankonastya
0

Відповідь: (порахована на калькуляторі)

241/432

 

Вас заинтересует