• Предмет: Алгебра
  • Автор: Artemka340
  • Вопрос задан 2 года назад

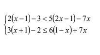
Розв’яжіть систему нерівностей

Приложения:

Ответы

Ответ дал: himikomat
1

Ответ:

2(x - 1) - 3 < 5(2x - 1) - 7x \\ 3(x + 1) - 2 \leqslant 6(1 - x) + 7x

2(x - 1) - 3 < 5(2x - 1) - 7x \\ 2x - 2 - 3 < 10x - 5 - 7x \\ 2x - 5 < 3x - 5 \\ 2x < 3x \\ 2x - 3x < 0 \\  - x < 0 \\ x > 0

3(x + 1) - 2 \leqslant 6(1 - x) + 7x \\ 3x + 3 - 2 \leqslant 6 - 6x + 7x \\ 3x + 1 \leqslant 6 + x \\ 3x - x \leqslant 6 - 1 \\ 2x \leqslant 5 \\  \div 2 \\ x \leqslant  \frac{5}{2}

x > 0 \\ x \leqslant  \frac{5}{2}

x∈ < 0. \frac{5}{2} ]


kuvaevmaks: Добрый вечер. помогите мне пожалуйста с алгеброй, мне надо сегодня сдать, заранее спасибо
Вас заинтересует