• Предмет: Алгебра
  • Автор: applone
  • Вопрос задан 2 года назад

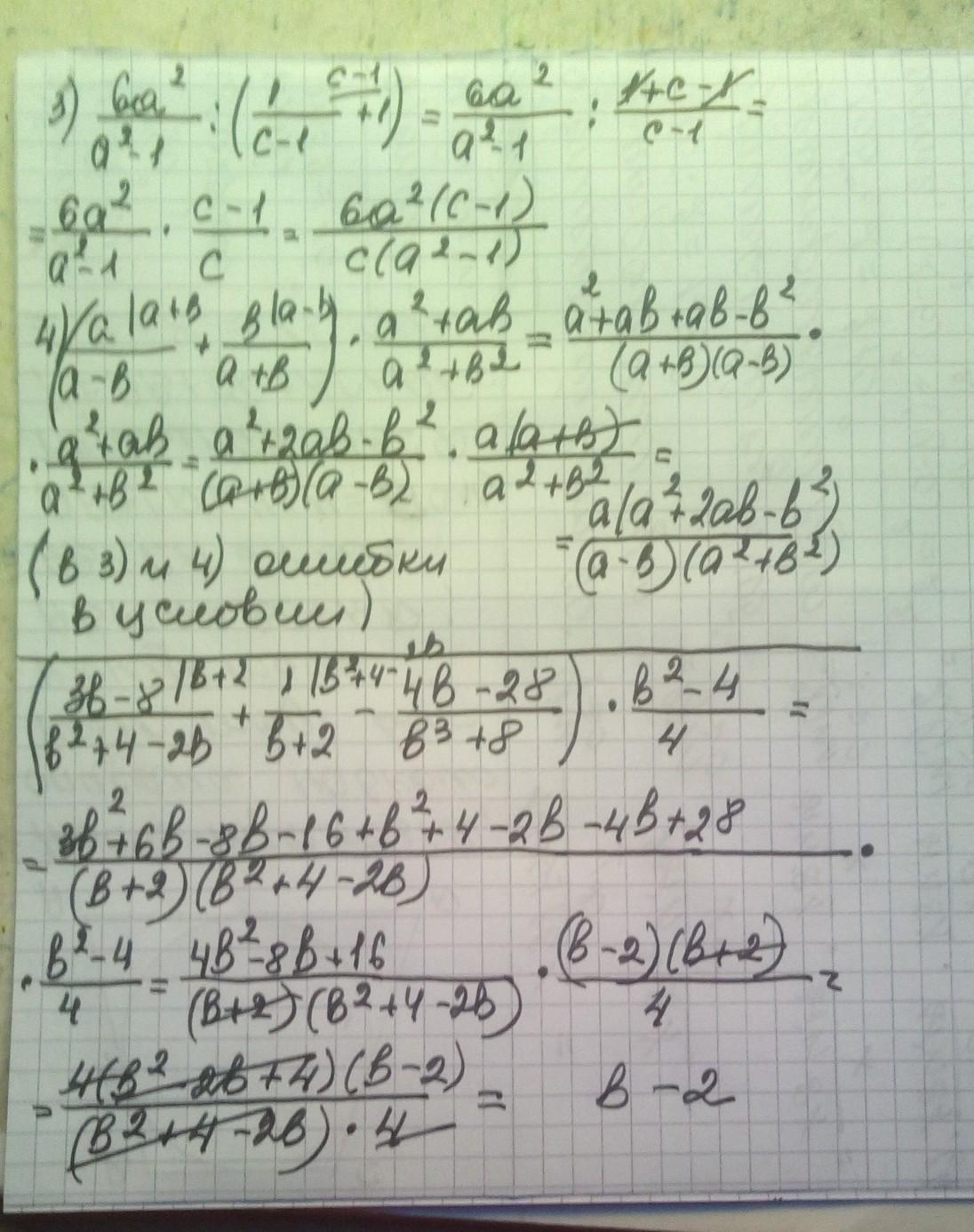
Задание на фото, даю 15 баллов

Приложения:

manyny06: через пару минут будет остальное

Ответы

Ответ дал: manyny06
1

Ответ:

решение смотри на фотографии

Приложения:
Вас заинтересует