• Предмет: Алгебра
  • Автор: auraron
  • Вопрос задан 2 года назад

Помогите срочно! Даю 100 баллов,Неполные квадратные уравнения 8 класс

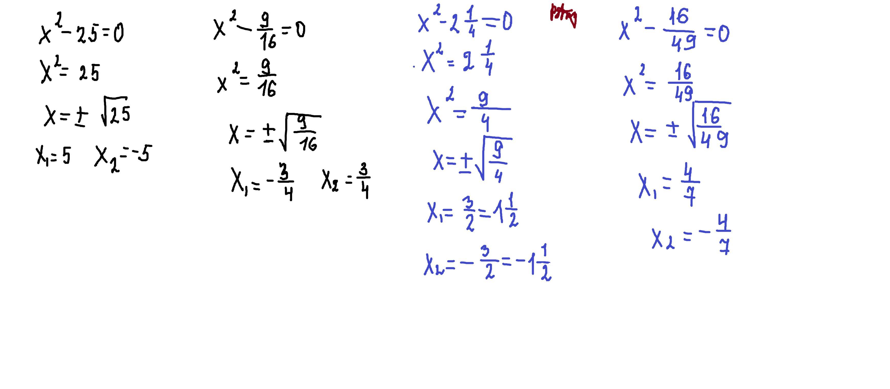
1) x²-25=0
2) x²-\frac{9}{16}=0
3) x²-2\frac{1}{4}=0
4) x²\frac{19}{49}-=0


auraron: в 4 минус забыла перед дробью
parus77: а точно 19/49 ?
auraron: блин 16/49
auraron: простите

Ответы

Ответ дал: parus77
1

Ответ:

Объяснение:

решение внизу

Приложения:
Вас заинтересует