• Предмет: Алгебра
  • Автор: zaklopotanyi
  • Вопрос задан 2 года назад

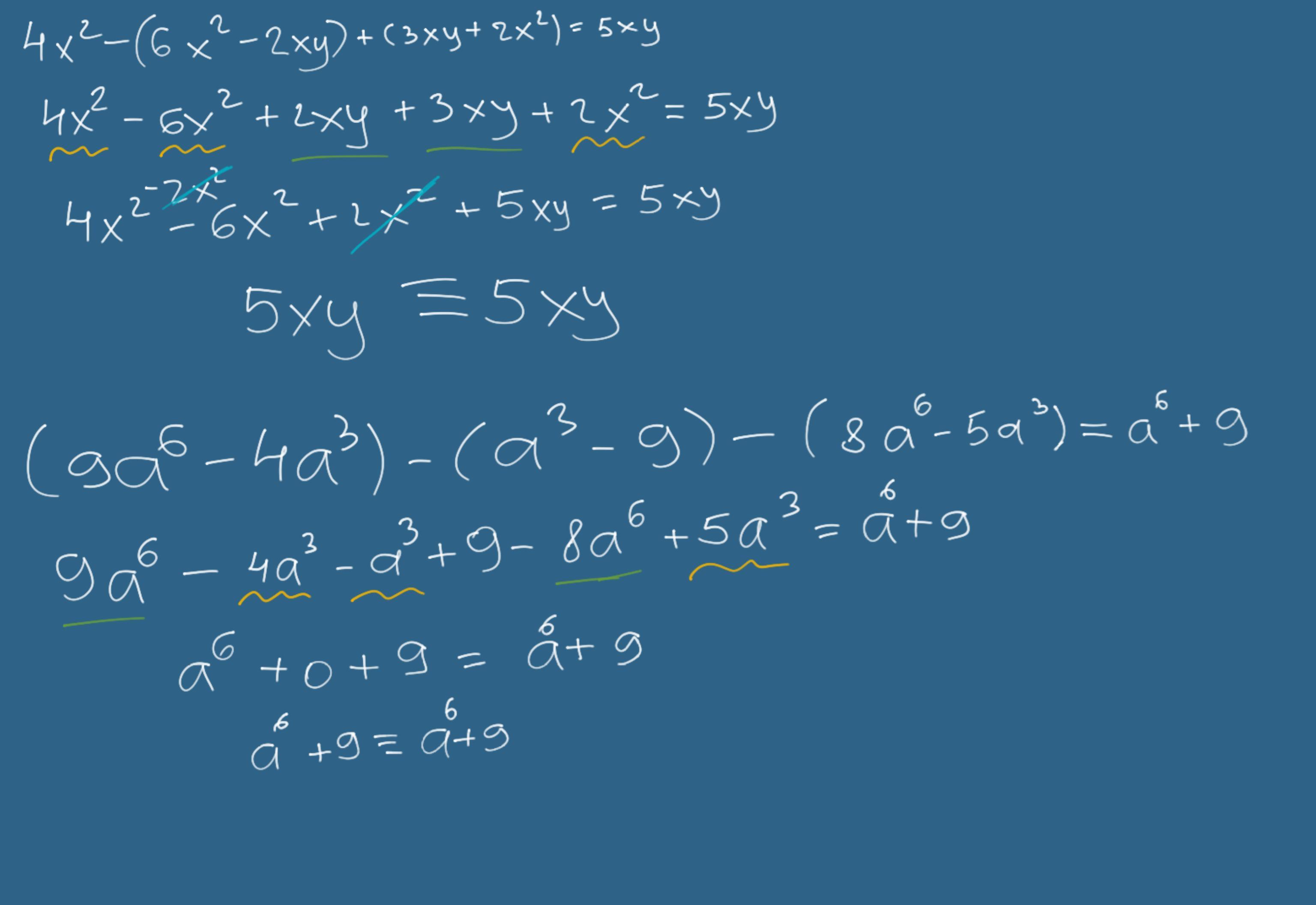
доведіть тотожність 4х²-(6х²-2ху)+(3ху+2х²)=5ху , (9а⁶-4а³)-(а³-9)-(8а⁶-5а³)=а⁶+9 допоможіть будь ласка​

Ответы

Ответ дал: maydoncute
1

відповідь на фотографії

Приложения:

zaklopotanyi: дякую
maydoncute: радий допомогти)
Вас заинтересует