• Предмет: Физика
  • Автор: klientwip13
  • Вопрос задан 2 года назад

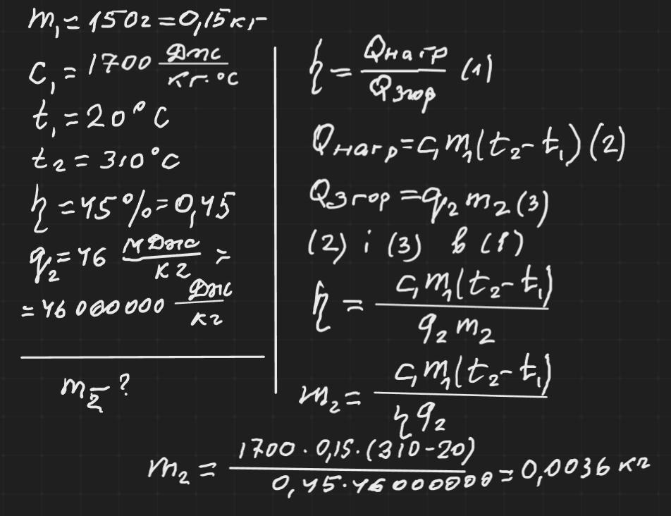
Пошвидше будь ласка . Визначте масу гасу, який буде потрібно, щоб довести до кипіння 150 г олії, взятої при температурі 20 °С. ККД нагрівника 45%. Температура кипіння олії 310 °С. ​

Ответы

Ответ дал: zybkov1950
243

Відповідь: ≈ 3,6 г

Пояснення:

Приложения:

Lolt5: Красавчик
empty100111: лучший
biznesnazarka: что ето за буква в дано где 45% и где 46 мдж кг срочно
denisshulik21: Спс большое красава
maruna3335: Дякую
KHTVP: Идеалити
radadopomogtu: Хтось запитував за літеру,там де відсотки,то грецька літера-ета
polinakutc007: дякую!!!!
gerashenko1606: Спасибо!
egorbichara2009: спс
Вас заинтересует