• Предмет: Алгебра
  • Автор: avkudrya
  • Вопрос задан 2 года назад

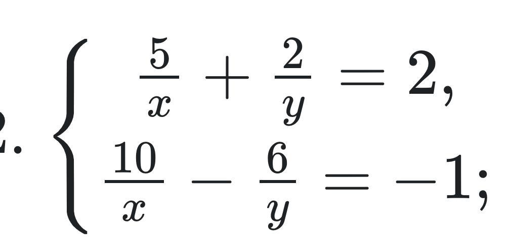
Алгебра! Даю 50 балов!

Приложения:

natashatomashuk1981: Не получилось прикрепить фото.Напишу просто ответы у=5,х=3 1/8
avkudrya: А объяснение?

Ответы

Ответ дал: Пеппер
1

Ответ:

(х; у) (5; 2)

Объяснение:

Приложения:
Вас заинтересует