• Предмет: Алгебра
  • Автор: mykolay14
  • Вопрос задан 2 года назад

Показати розв'язання в завданнях

Приложения:

Ответы

Ответ дал: narehyesayan152
0

Ответ:

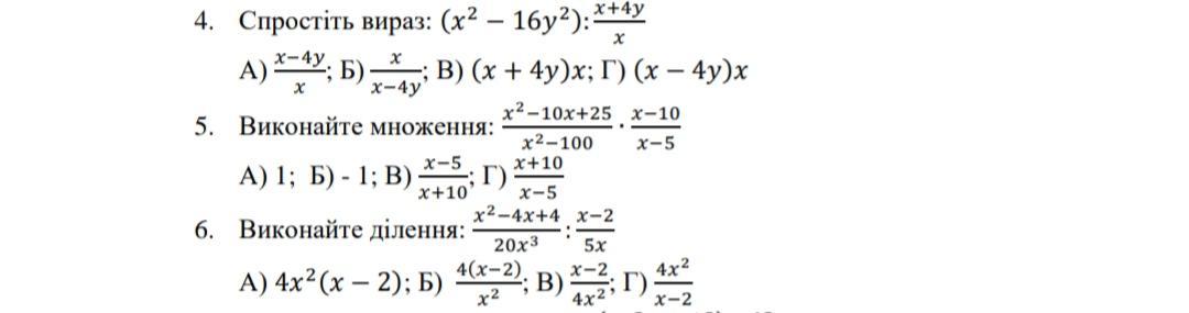
4. Г

5. В

6. В

Объяснение:

Ответ дал: krististefanyuk
0
1.Г)
2.В)
3.В)
Хорошего дня)
Вас заинтересует