• Предмет: Алгебра
  • Автор: iclous3
  • Вопрос задан 2 года назад

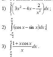
2.Обчисліть визначені інтеграли:
помогите дам 80 баллов пж пж жп

Приложения:

Ответы

Ответ дал: alinaruew
1
Надеюсь понятно написала::::::::::::
Приложения:
Вас заинтересует