• Предмет: Алгебра
  • Автор: iclous3
  • Вопрос задан 2 года назад

1.Знайдіть невизначені інтеграли дам 10 баллов

Приложения:

Ответы

Ответ дал: krististefanyuk
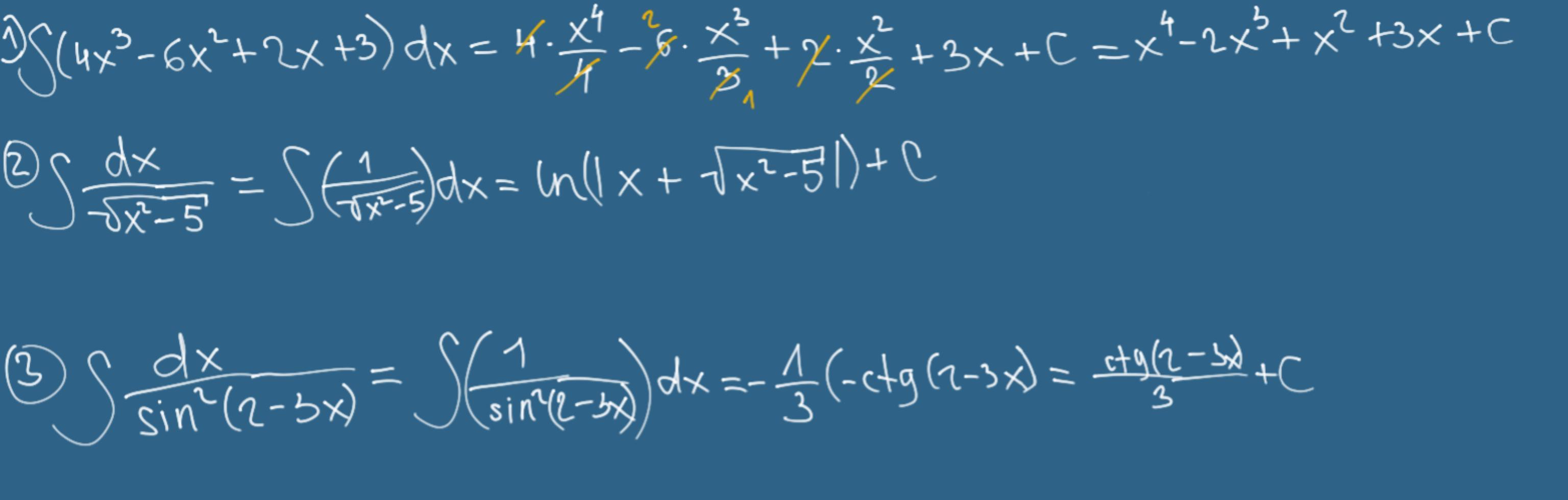
1
всі відповіді на фото, гарного дня)
Приложения:
Ответ дал: maydoncute
1

відповіді на фотографії

Приложения:
Вас заинтересует