• Предмет: Алгебра
  • Автор: anya7209
  • Вопрос задан 2 года назад

Розкрийте дужки. Будь ласка​

Приложения:

Ответы

Ответ дал: dobra888
2

Відповідь:

Пояснення:

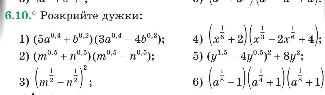
  6.10 .  1 )  . . . = 15a⁰'⁸ - 20a⁰'⁴b⁰'² + 3a⁰'⁴b⁰'² - 4b⁰'⁴ = 15a⁰'⁸ - 17a⁰⁴b⁰'² -

                         - 4b⁰'⁴ ;

             2 )  . . . = ( m⁰'⁵ )² - ( n⁰'⁵ )² = m - n ;

             3 )  . . . = ( m⁰'⁵ )² - 2m⁰'⁵n⁰'⁵ + ( n⁰'⁵ )² = m - 2m⁰'⁵n⁰'⁵ + n ;

             4 )  . . . = ( x^(1/6 )³ + 2³ = x^(1/2 ) + 8 ;

             5 )  . . . = y³ - 8y² + 16y + 8y² = y³ + 16y ;

             6 )  . . . = ( a^(1/4 ) + 1 )( a^(1/8 )²- 1²) = ( a^(1/4 ) + 1 )( a^(1/4 ) - 1 ) =

                         =  a^( 1/4 )² - 1² = a^(1/2 ) - 1 .  


anya7209: БОЖЕ ВЕЛИКЕ ДЯКУЮ ТОБІ
Вас заинтересует