• Предмет: Математика
  • Автор: Аноним
  • Вопрос задан 2 года назад

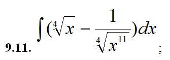
Знайти невизначені інтеграли № 9.11 на фото.
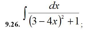
Знайти невизначені інтеграли, користуючись заміною змінних № 9.26 на фото.

Приложения:

Ответы

Ответ дал: fk040826
1

Ответ:

ответ на фото

Пошаговое объяснение:

Приложения:
Вас заинтересует