• Предмет: Алгебра
  • Автор: letvinenko685
  • Вопрос задан 2 года назад

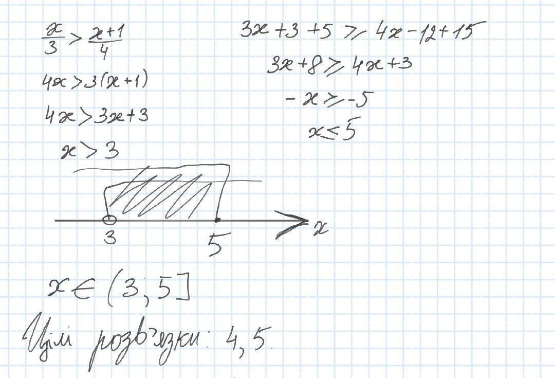
Знайдіть цілі розв'язки системи нерівностей​

Приложения:

Ответы

Ответ дал: maydoncute
2

Відповідь:

Усе на світлині знизу.

Приложения:

Аноним: Здравствуйте вы не могли бы мне помочь с алгеброй пожалуйста умоляюю
Ответ дал: aarr04594
2

Відповідь: 4; 5

Пояснення: розв'язання завдання додаю

Приложения:

Аноним: Здравствуйте вы не могли бы мне помочь с алгеброй пожалуйста умоляюю
Вас заинтересует