Ответы
Ответ дал:
1
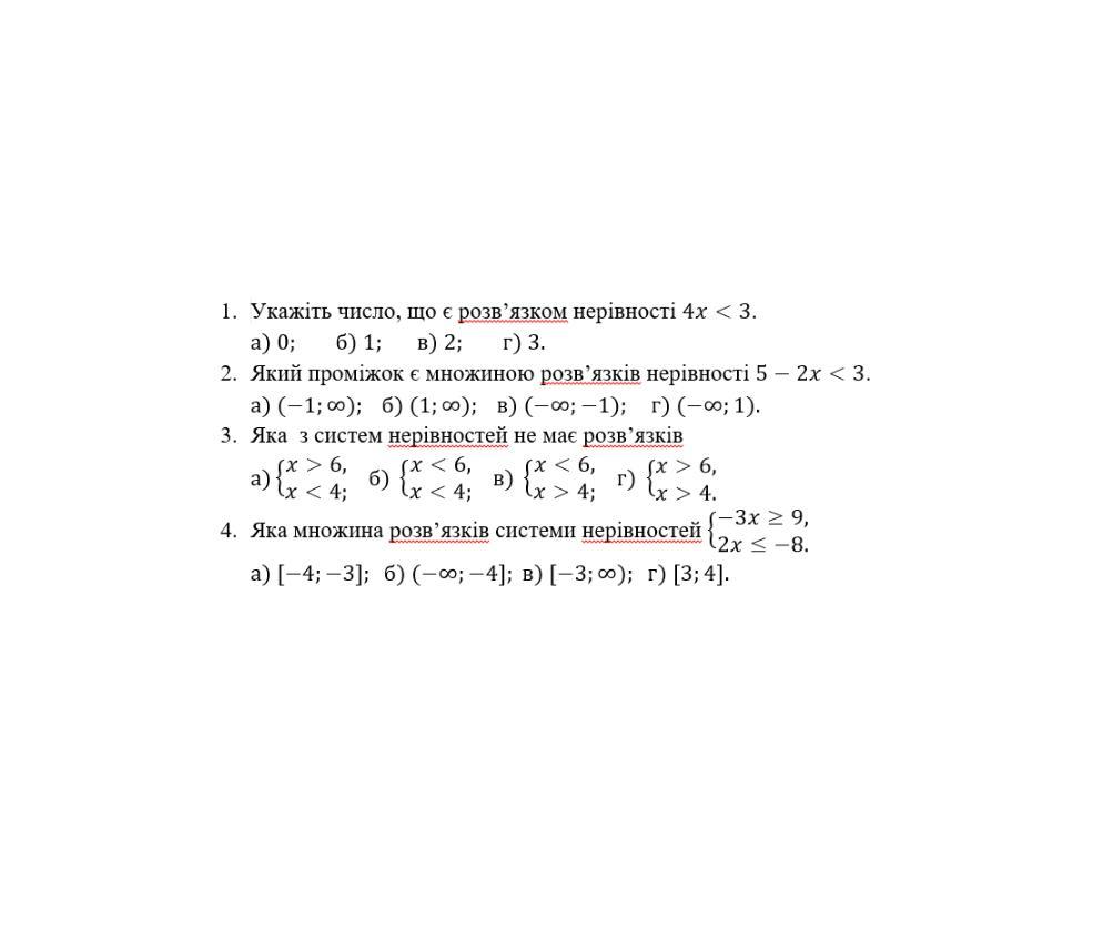
на фото є вже з 5-7
Приложения:


очень благодарю за 5 + 6 и 7
Ответ дал:
0
Відповідь: розв'язання завдання додаю
Пояснення:
Приложения:

Вас заинтересует
1 год назад
1 год назад
3 года назад
3 года назад