• Предмет: Алгебра
  • Автор: Аноним
  • Вопрос задан 2 года назад

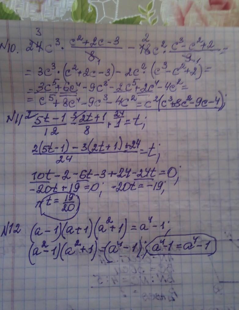
Алгебра 7 класс, будь ласка не просто відповідь а розписати
даю 100 балів

Приложения:

Ответы

Ответ дал: raisakovpakmash
1

розв'язок завдання і відповіді на фото

Приложения:
Вас заинтересует