• Предмет: Математика
  • Автор: pzvonarev34
  • Вопрос задан 2 года назад

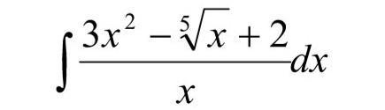
Невизначений інтеграл.
Помогите пожалуйста , очень нужно .​

Приложения:

Ответы

Ответ дал: egorpevnev92
0
Если надо могу объяснить
Приложения:
Вас заинтересует