• Предмет: Алгебра
  • Автор: elladufkt501
  • Вопрос задан 2 года назад

ПОМОГИТЕ ПОЖАЛУЙСТА
ДАЮ 50 БАЛЛОВ

Приложения:

Ответы

Ответ дал: natashatomashuk1981
1

Ответ:

-0,

Объяснение:

Приложения:
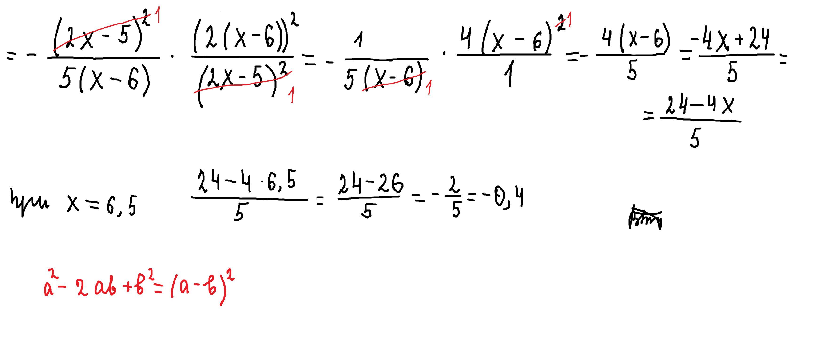
Ответ дал: parus77
1

Ответ:

=-0,4

Объяснение:

решение внизу

Приложения:
Вас заинтересует