• Предмет: Математика
  • Автор: Аноним
  • Вопрос задан 2 года назад

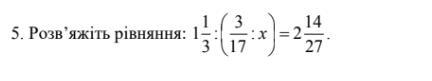
!!!ОЧЕНЬ СРОЧНО!!! розв`яжіть рівняння 1 1\3 : (3\17 : х)=2 14\27

Приложения:

Ответы

Ответ дал: Asfdew
1

Ответ:

Можно лучший ответ

Можна кращу відповідь

Приложения:
Вас заинтересует