• Предмет: Алгебра
  • Автор: limonchik457
  • Вопрос задан 2 года назад

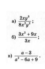
Допоможіть будь ласка! За спам дуже швидко кидаю репорт

Приложения:

Ответы

Ответ дал: mars777rrs
0

Ответ:

Фото ответ, если не понят спроси

Объяснение:

Последний решен через формулу квадрата разницы

Приложения:
Вас заинтересует
3 года назад