С помощью таблицы кодов АSСІІ закодируйте слово «информатика»,используя: а) десятичный код: б) двоичный код.
Ответы
Десятичный код:
1444331446451447291446461447251
44644144625144727144633144642144
625
Двоичный код:
0000111000101100001000010000111
00010111000101101000011100010111
10001110100001110001011100010111
00000111000101111000110010000111
00010111000101100000011100010111
00001100100001110001011110001101
10000111000101110001000010000111
00010111000101010000011100010111
000011001
Объяснение:
Должно быть верно
Ответ:
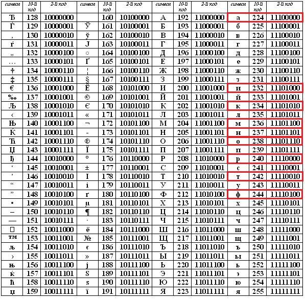
а) десятичный код:
232 237 244 238 240 236 224 242 232 234 224
б) двоичный код:
11101000 11101101 11110100 11101110 11110000 11101100 11100000 11110010 11101000 11101010 11100000
Объяснение:
воспользуемся таблицей кодов ASCII (скрин)
а) десятичный код:
и 232
н 237
ф 244
о 238
р 240
м 236
а 224
т 242
и 232
к 234
а 224
б) двоичный код:
и 11101000
н 11101101
ф 11110100
о 11101110
р 11110000
м 11101100
а 11100000
т 11110010
и 11101000
к 11101010
а 11100000
