• Предмет: Алгебра
  • Автор: dan5991
  • Вопрос задан 2 года назад

Даю 100 балов
Помоги решить
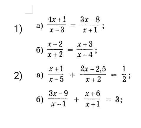
Решать по т.Виета или Дискриминант

Приложения:

Ответы

Ответ дал: poturaevaanastasia
1

Ответ:

Все объяснение в файле. Одно задание не решается по дискриминанту, просто как уравнение

Приложения:

poturaevaanastasia: пиши в начале задания
dan5991: Рядом с уравнением?
poturaevaanastasia: 2б) х≠1; х≠-1
poturaevaanastasia: да, ряжом с уравнением и начинай писать так: одз: и т.д. то что я написала к каждому заданию
dan5991: Пон
dan5991: ❤️❤️❤️
dan5991: А палочку это писать?
poturaevaanastasia: какую палочку? у тебя есть инст или телега? так будет легче списаться, тут не удобно разговариаать
dan5991: Да
poturaevaanastasia: @polittynasttya вот мой инст напиши мне
Вас заинтересует