• Предмет: Математика
  • Автор: yyvuvuvuv
  • Вопрос задан 2 года назад

помогите пожалуйста срочно зробіть з повним описом ​

Приложения:

Ответы

Ответ дал: wrcon
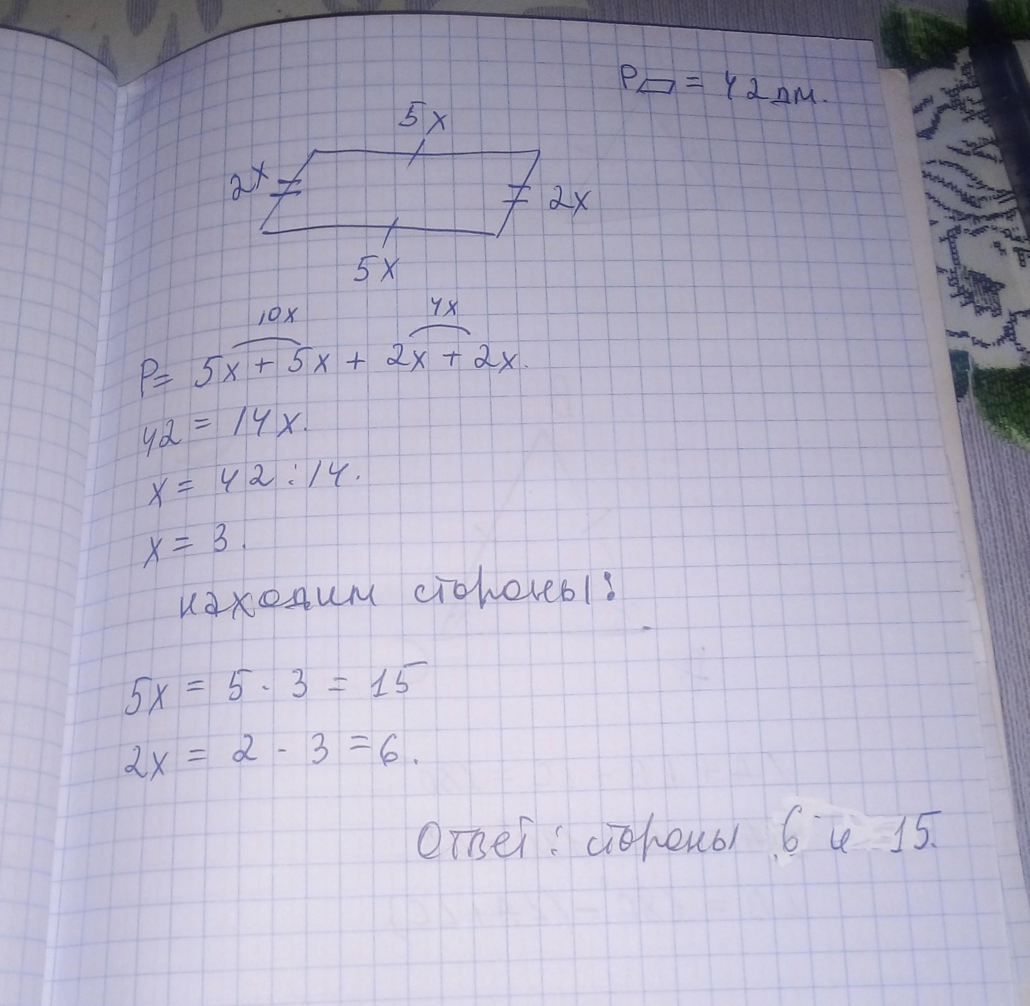
1

параллелограм имеет 4 стороны. 2 так называемые одинаковые по размеру длины и 2 одинаковые по размеру ширины. отношение различных двух сторон у нас равно 2:5. это значит что меньшая сторона равна 2х а большая 5х.

мы знаем что периметр это сумма всех сторон. в нашем случае стороны обозначены как 5х 5х 2х и 2х. то есть если все эти стороны сложить то получится периметр:

Р = 5х + 5х + 2х + 2х

а периметр у нас равен 42дм.

42 = 5х + 5х + 2х + 2х

складываем иксы и вычисляем чему равен один икс:

42 = 14х

х = 42 ÷ 14

х = 3

теперь можем найти стороны параллелограма подставляя уже известное нам значение икса:

2х = 2×3 = 6дм

5х = 5×3 = 15дм

ответ: 6 и 15

Приложения:

vapdxfcf: помогите пожалуйста
vapdxfcf: помогите
vapdxfcf: помогите помогите
vapdxfcf: помогите
vapdxfcf: помогите помогите
vapdxfcf: помогите
vapdxfcf: помогите пожалуйста задание
vapdxfcf: помогите
vapdxfcf: помогите пожалуйста
vapdxfcf: задание
Вас заинтересует