Ответы
Ответ дал:
0
Объяснение:
Вот решение, если что пиши
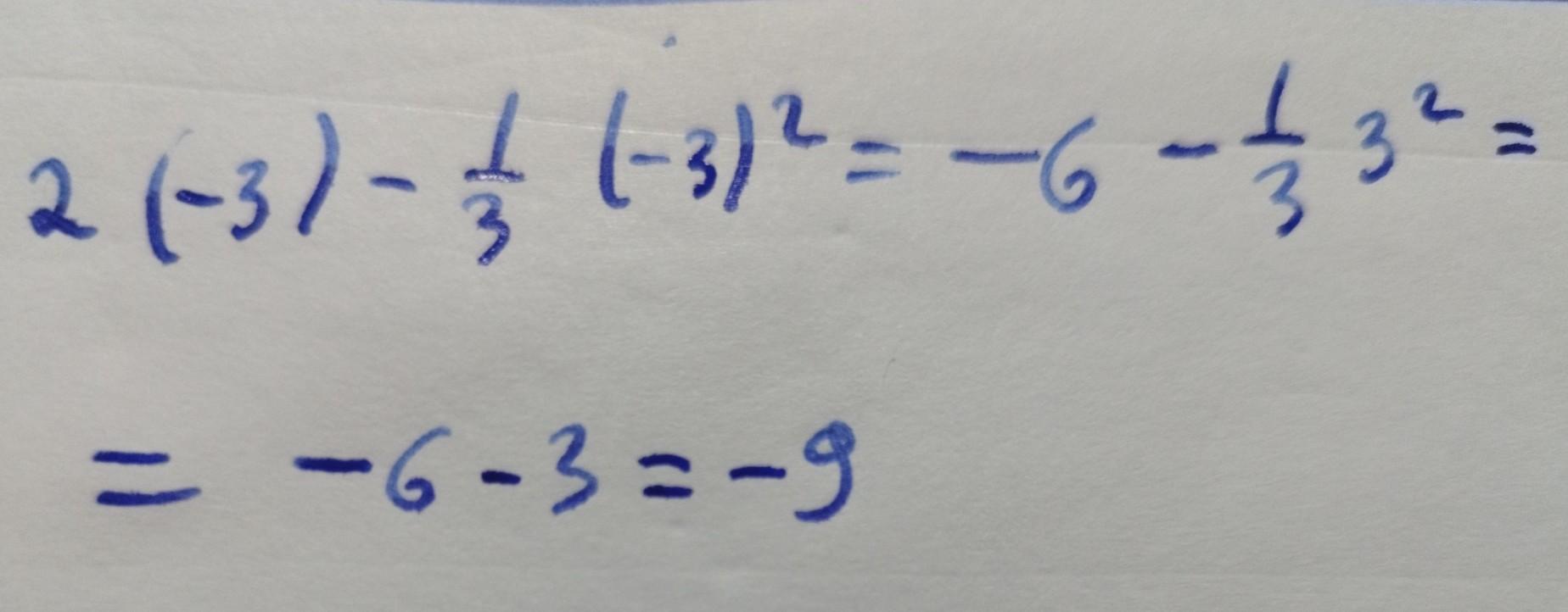
ОТВЕТ: (-3;-9)
Приложения:

[–3; 2]
[–2; 5]
[–4; 5] то,что написали вы не может быть ответом для данного задания.
Вас заинтересует
1 год назад
1 год назад
1 год назад
1 год назад
3 года назад
3 года назад
8 лет назад
[–3; 2]
[–2; 5]
[–4; 5]