• Предмет: Математика
  • Автор: arinadovbnya10v
  • Вопрос задан 2 года назад

ці два рівняння допоможіть вирішити​

Приложения:

Ответы

Ответ дал: Аноним
1

4)

2 \frac{7}{8}  \div  \frac{1}{8} = x \div 1 \frac{3}{5}

8 \times 2 \frac{7}{8} \times 1 \frac{3}{5} = x

8 \times  \frac{23}{8}  \times  \frac{8}{5} = x

23 \times  \frac{8}{5} = x

 \frac{184}{5}  = x

x =  \frac{184}{5}

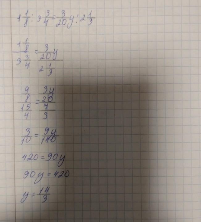
5 уравнение на фото))

Приложения:

Аноним: 1 1/8:3 3/4=3/20у:2 1/3
Аноним: 1 1/8/ 3 3/4=3/20у/2 1/3
Аноним: 9/8/15/4=3у/20/7/3
Аноним: 3/10=9у/140
Аноним: 420=90у
Аноним: 90у=420
Аноним: у=14/3
Аноним: я вже написала
arinadovbnya10v: спасибо
Аноним: не за что:)
Вас заинтересует