Ответы
Ответ дал:
0
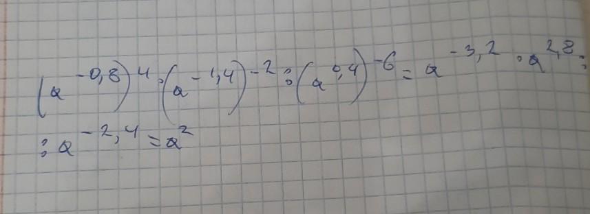
Ответ:
a²
Объяснение:
ответ точно правильный,удачи вам
Приложения:

Вас заинтересует
1 год назад
1 год назад
1 год назад
1 год назад
3 года назад
3 года назад
8 лет назад