• Предмет: Алгебра
  • Автор: 13angelina04
  • Вопрос задан 2 года назад

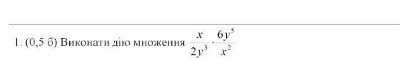
ПОЖАЛУЙСТА ПОМОГИТЕ! С РЕШЕНИЕМ ПОЖАЛУЙСТА ​

Приложения:

Ответы

Ответ дал: aknur143
0

Ответ:

 \frac{6xy {}^{5} }{2y {}^{3}x { }^{2}  }  =  \frac{3y {}^{2} }{x}

Вас заинтересует