• Предмет: Алгебра
  • Автор: loshka34354
  • Вопрос задан 2 года назад

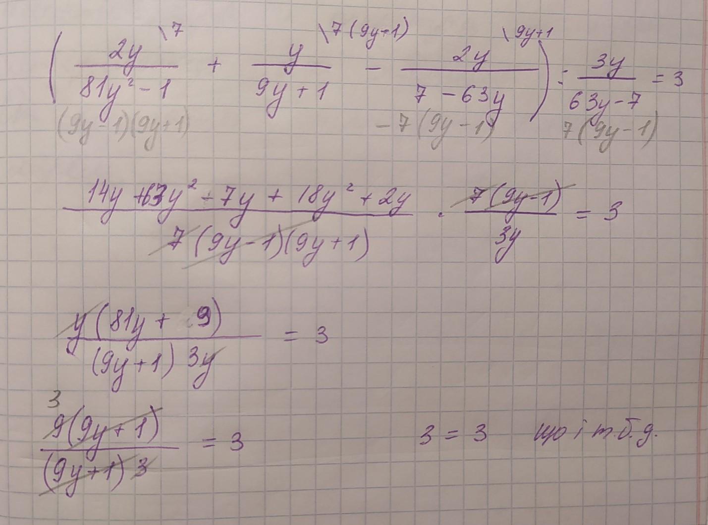
Доведіть тотожність.

Приложения:

Ответы

Ответ дал: yroha0013ozm56p
1

Ответ:

всі пояснення зображені на фото

Приложения:
Вас заинтересует