• Предмет: Алгебра
  • Автор: Аноним
  • Вопрос задан 2 года назад

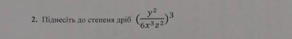
2. Піднесіть до степеня дріб даю 40 балів​

Приложения:

Ответы

Ответ дал: Andrew2143
0

Відповідь:

y⁶/216x⁹z⁶

Пояснення:

Ответ дал: orlovskaviktoria46
2

Ответ:

(у⁶/216х⁹z⁶)

Объяснение:

Степінь множемо на степінь НЕ ДОДАЄМО, а МНОЖЕМО. 6 множемо саме на себе 3 рази так само з х і z

Вас заинтересует