• Предмет: Математика
  • Автор: LolitaShop
  • Вопрос задан 2 года назад

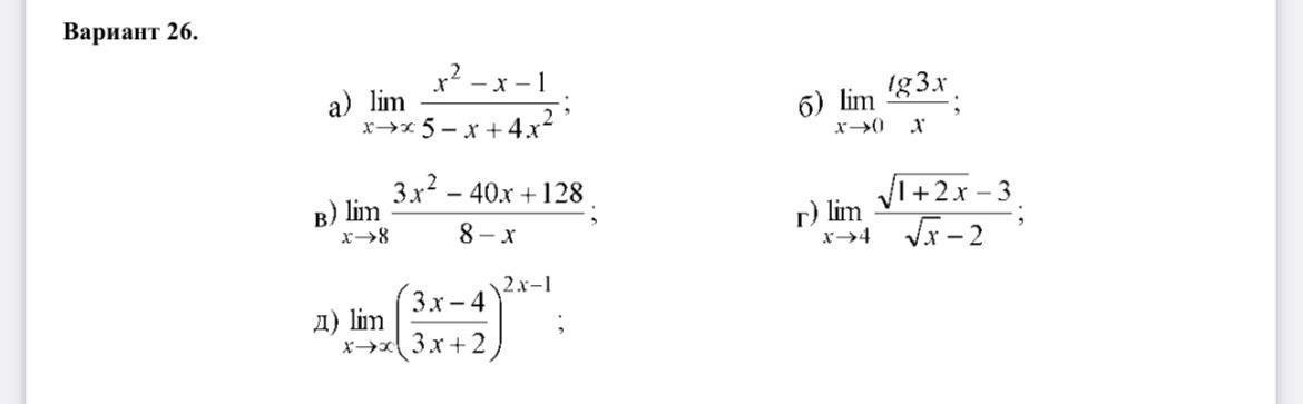
Вычислите предел функции, не пользуясь правилом Лопиталя:

Приложения:

Ответы

Ответ дал: HSS9860
1

Ответ:

\frac{1}{4} ; \ 3; \ 8; \ \frac{4}{3}; \ e^{-4}.

Пошаговое объяснение:

рассмотрите предложенное решение; проверка не проводилась. Ответы отмечены зелёным.

Приложения:
Вас заинтересует