Ответы
Ответ дал:
2
Смотри........................
Приложения:

Ответ дал:
0
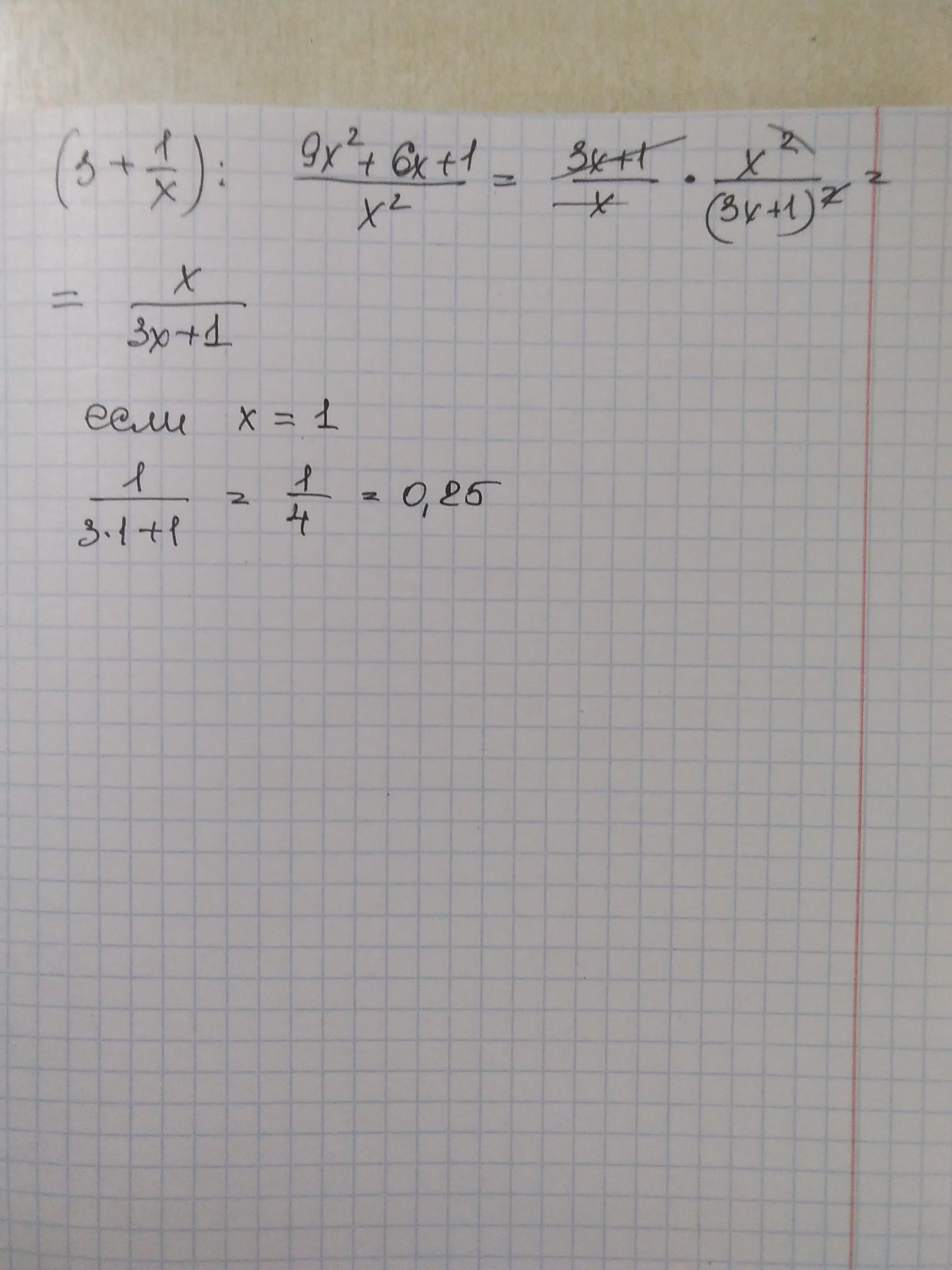
Відповідь: 1/4 .
Пояснення:
( 3 + 1/x ) : ( 9x² + 6x + 1 )/x² = x/( 3x + 1 ) .
1 ) 3 + 1/x = ( 3x + 1 )/x ;
2 ) ( 3x + 1 )/x : ( 9x² + 6x + 1 )/x² = ( 3x + 1 )/x : ( 3x + 1 )²/x² =
= ( 3x + 1 )/x * x²/( 3x + 1 )² = x/( 3x + 1 ) .
Якщо х = 1 , то x/( 3x + 1 ) = 1/( 3 * 1 + 1 ) = 1/4 .
Вас заинтересует
1 год назад
1 год назад
3 года назад