• Предмет: Алгебра
  • Автор: kk9387035
  • Вопрос задан 2 года назад

срочно надо, пожалуйста, с объяснением ​

Приложения:

Ответы

Ответ дал: 55555555552187
2

Ответ смотри ниже

Объяснение:

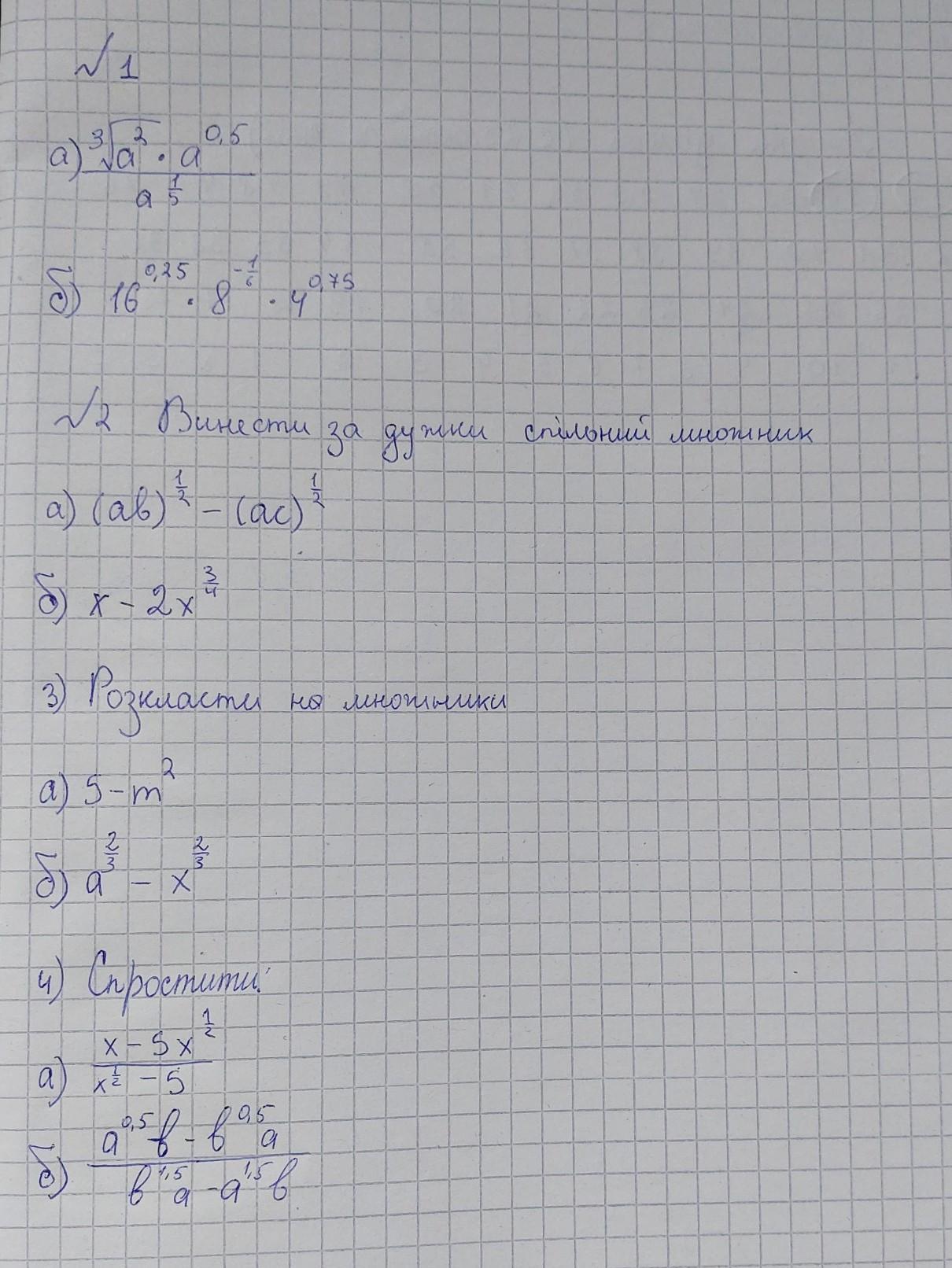
1) (∛а² * √а) / а^0,5= a^(\frac{2}{3}+\frac{1}{2}-\frac{5}{10})=a^\frac{2}{3} =\sqrt[3]{a}²

2) 16^0,25*8^ (-\frac{1}{6})*4^0,75= 2^(4*0,25)*2^(3*(-\frac{1}{6}))*2^(2*0,75)=2 * 2^(-\frac{1}{2})*2^1,5)= 2^(1+(-\frac{1}{2})+1\frac{1}{2})= 2^2=2²=4

_________________

a) (ab)^\frac{1}{2} - (ac)^\frac{1}{2}=\sqrt{ab}-\sqrt{ac}=√a(√b-√c)

b) x-2x^\frac{3}{4} = \sqrt[4]{x}³*(\sqrt[4]{x}-2)

_______________________

а) 5- m²= (√5-m)*(√5+m)

b) \sqrt[3]{a}² - \sqrt[3]{x}² = (∛a-∛x)*(∛a+∛x)

_________________________

a) \frac{x-5\sqrt{x} }{\sqrt{x} -5} =  \frac{\sqrt{x} (\sqrt{x} -5)}{\sqrt{x} -5} =√x

b) \frac{\sqrt{a} *b-\sqrt{b}*a }{b*\sqrt{b}*a-a*\sqrt{a}*b } = \frac{\sqrt{a} *b-\sqrt{b} *a}{\sqrt{a} \sqrt{b} (\sqrt{a}*b-\sqrt{b}*a)  } =\frac{1}{\sqrt{ab} }


55555555552187: отметь как лучший!!! я старался
kk9387035: та ты вообще лучший
Вас заинтересует