• Предмет: Алгебра
  • Автор: olesiaivanyshchak
  • Вопрос задан 2 года назад

СРОЧНО ПОМОГИТЕ даю 50 баллов ​

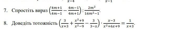
Приложения:

Ответы

Ответ дал: veronikamish
0
7.8/m
8. 1/x+3=1/x+3
x=R {-3,3}
Восьмое задание я очень сильно кратко написала)
Вас заинтересует