• Предмет: Алгебра
  • Автор: Viscount
  • Вопрос задан 2 года назад

Решите уравнения, пжлст

(Помилуйте мою грешную душу)

Приложения:

Аноним: а) х=389/50 ( в дробях) б) уравнение не имеет решений
Viscount: Мне надо как-то к этому прийти еще

Ответы

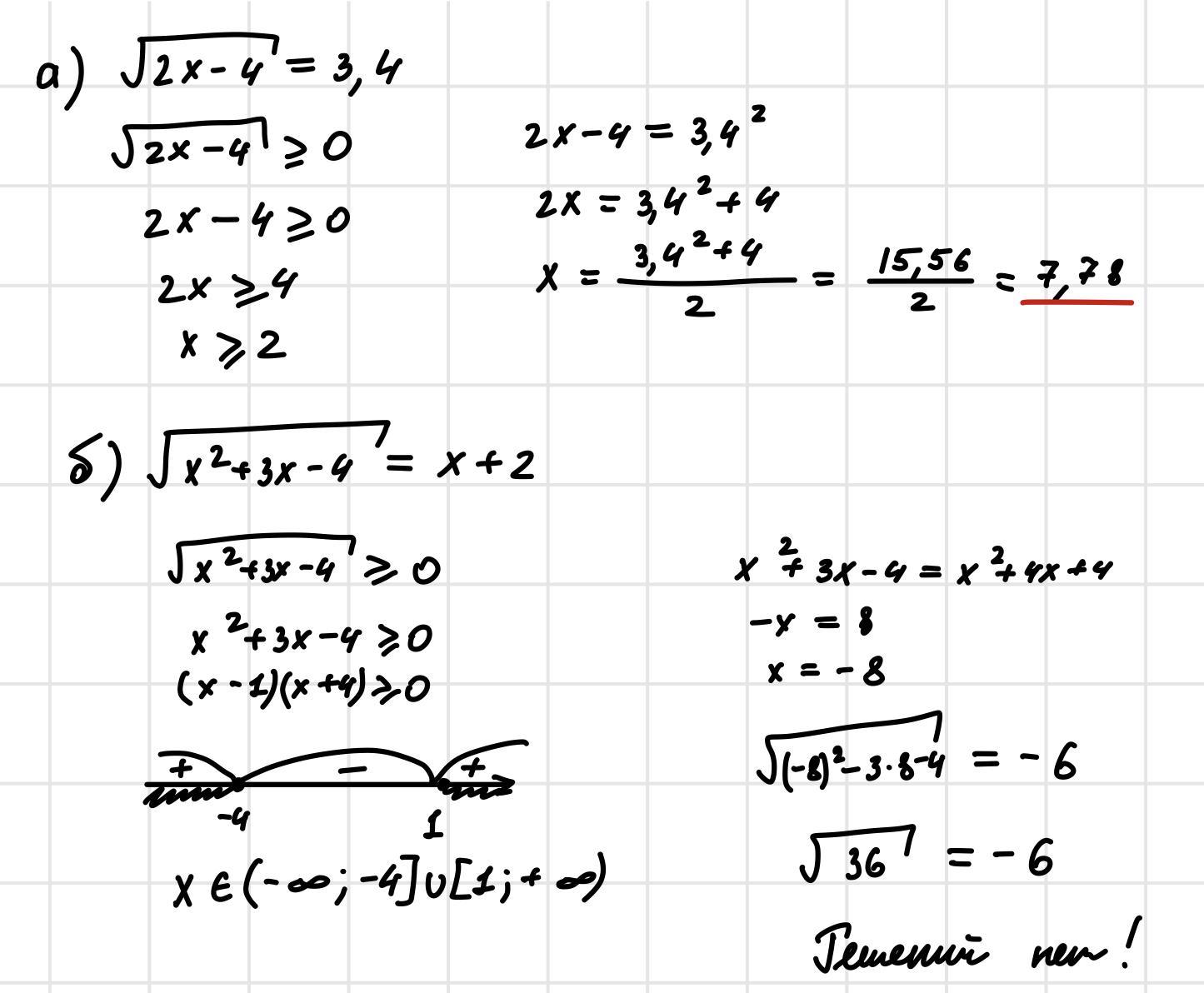
Ответ дал: Shilkinn
1

В последнем уравнении, если подставлять x, то получается, что квадратный корень равен отрицательному числу, чего быть не может, следовательно решений нет. Надеюсь помог, удачи)

Приложения:
Вас заинтересует