Ответы
Ответ дал:
1
Ответ:
x=10
Объяснение:
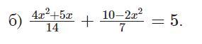
умножим обе части уравнения на 14:
4x²+5x+2(10-2x²)=5*14
4x²+5x+20-4x²=70
5x=70-20
5x=50
x=50:5
x=10
Ответ дал:
1
Объяснение:
у м ножим обе части 14 и так продалжал
Приложения:

Вас заинтересует
1 год назад
1 год назад
1 год назад
3 года назад
3 года назад
8 лет назад