• Предмет: Математика
  • Автор: kosincevila56
  • Вопрос задан 2 года назад

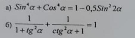
Доказать дождество пожалуйста решите

Приложения:

Ответы

Ответ дал: YNread
0

Ответ:

Во втором заменяешь оба выражения на следующие:

б) cos^2(a) + sin^2(a) = a


kosincevila56: и все
Вас заинтересует