• Предмет: Математика
  • Автор: Аноним
  • Вопрос задан 2 года назад

Помогите плиз дам 10 бплов

Приложения:

Ответы

Ответ дал: Aka1chan
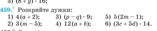
1

1) 4(а+2)=4а+8

2) 3(m-5)=3m-15

3) (p-q)×9=9p-9q

4) 12(a+b)=12a+12b

5) 5(2m-1)=10m-5

6) (3c+5d)×14=42c+70d


Аноним: Спасибо
Аноним: Проверка будет в любое время
Вас заинтересует