тут 3 задания,даю 30 баллов за 3 задания,кто сможет написать на бумаге буду благодарен
Приложения:

Ответы
Ответ дал:
1
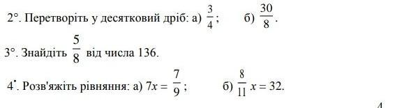
2. А. 0,75; б. 3,75.
3. 85.
4. А. 1/9; б. 4і
розв'язання на фото
Приложения:

Вас заинтересует
1 год назад
1 год назад
3 года назад
3 года назад
8 лет назад