• Предмет: Математика
  • Автор: virjo2688
  • Вопрос задан 2 года назад

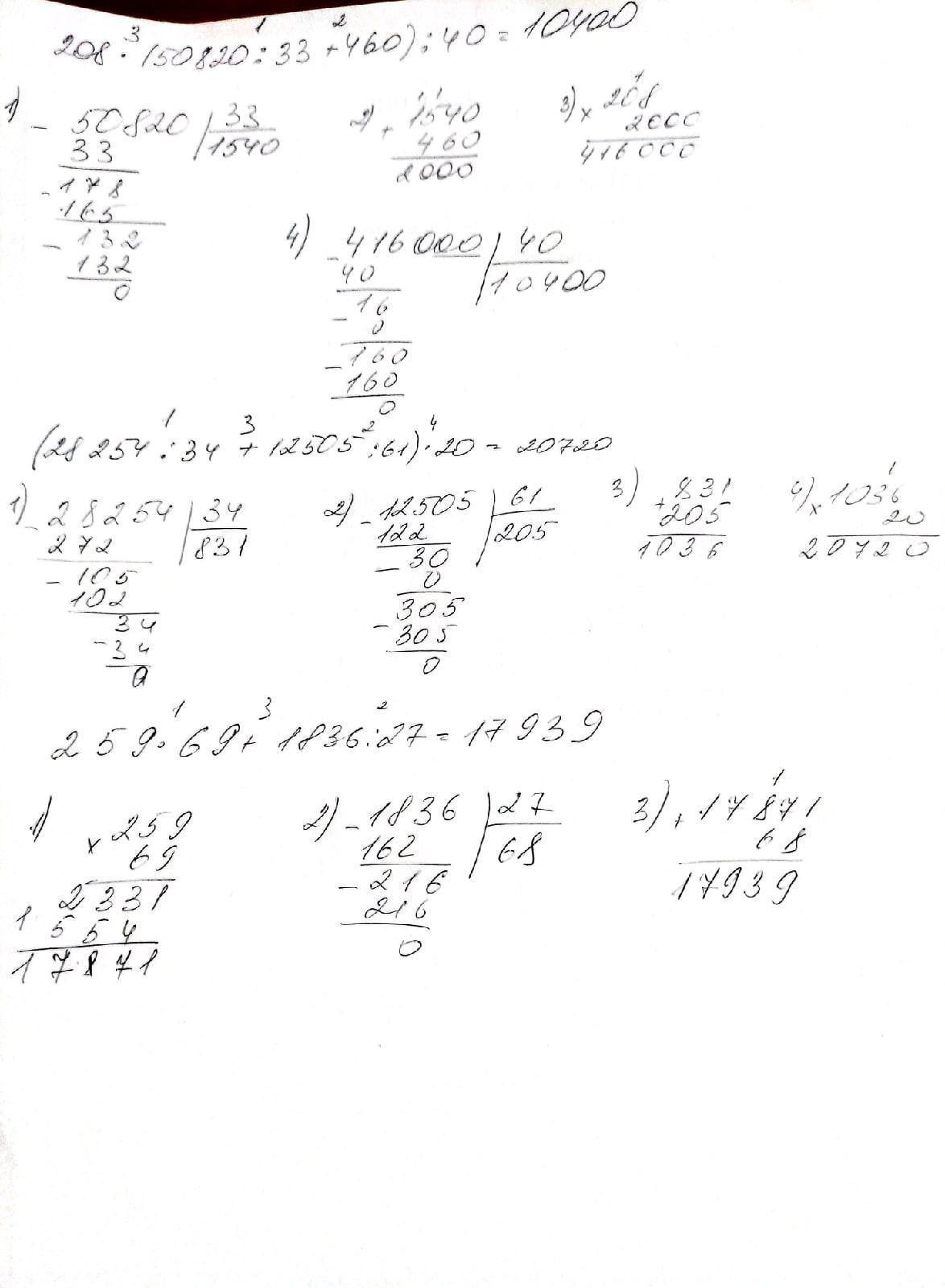
9 ДОМАШНЕЕ ЗАДАНИЕ Найди значения выражений. 208 (50 820:33+460) 40 (28 254:34 +12 505:61) 20 259-69 +1 836:27 п жжж ​

Приложения:

Ответы

Ответ дал: brolukach
2

Відповідь:ось

Покрокове пояснення:Будь ласка поставте найкращу відповідь

Приложения:

virjo2688: спспс
d94538436: там не 10.400 а 104.000
d94538436: поэтому исправь
Вас заинтересует